
PLATO will detect and characterise exoplanets with the transit method. It will perform long uninterrupted high precision photometric monitoring of large samples of stars to detect the dimming of stellar flux by an orbiting planet passing through the line-of-sight to Earth. When the planet is in front of the star, it obscures an area on the stellar surface proportional to the ratio of its size compared to that of the star. The dimming of stellar flux is therefore proportional to the square of the radius of the planet, Rplanet, relative to the radius of the star, RStar: ΔFα (Rplanet/RStar)2.Figure 3.1shows as an example the transit light curve of Kepler-10b, the smallest known exoplanet with the most accurate radius and mass measurement so far (Rplanet= 1.416 ±0.03 RE, Mplanet= 4.6 ±1.2 ME, Batalha et al. 2011). The round shape during this central transit is caused by the limb darkening of the host star. The transit method allows us to measure directly a planet’s size once the size of the star is known.
The mass of a detected transiting planet has to be determined by other means, for example by spectroscopic radial-velocity follow-up or Transit Time Variations (TTVs) measurements. The combination of radius and true mass provides the mean density of the planet, which, in combination with models of planetary interiors, allows us to constrain the planetary inner structures.
The periodicity of transit events allows us to derive the orbital period and therefore orbital distance according to Kepler’s 3rd law. If the secondary eclipse can be detected, i.e. if the planet disappears behind its host star, the orbital eccentricity can also be derived. Furthermore, the combination of transits with radial-velocity measurements during the transit allows us to determine the complete orbital parameters, including the eccentricity and alignment of the planetary orbital plane with the projected stellar rotation axis and the sense of orbital revolution of the planet around its star by the Rossiter-McLaughlin (RM) effect (Rossiter 1924; McLaughlin 1924). The RM effect will also be a more efficient way of confirming the planetary nature of a small planet, since their RM signal may be 2-3 times that of the orbital radial velocity signal and could be determined in the best cases from a single night of observations.
In addition, the variation of the light reflected by the planet’s surface all along its orbit, that is, its phased light curve, can also be measured. Thanks to space-based observations (Snellen et al. 2009; Borucki et al. 2009), this kind of observation allows us to determine the planet’s albedo and provides insights into the atmosphere properties. Complementary observations in the IR of the secondary eclipse could complete the analysis by providing the planet’s thermal emission (e.g. Demory et al. 2011). Finally, one can also take advantage of the primary transit to carry out spectroscopic observations of the planet’s atmosphere and detect some atomic species (e.g. Charbonneau et al. 2009). The analysis of the transit ingress and egress can be used to map the planetary atmosphere, at least for close-in hot giants (Cowan & Agol 2008).

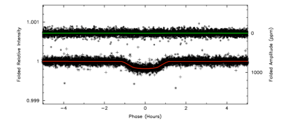
Transit light curve of Kepler-10b (Batalha et al. 2011). The planet has an orbital period of about 0.8 days and was observed by Kepler for a period over 8 months for this data set. The V magnitude of the host star is 10.96.
The sensitivity of PLATO will also allow us to detect, not only planets, but also their rings and moons, trojans (objects that share an orbit with a larger planet), as well as large comets. Moons and trojans can be used to constrain models of planet formation but are also themselves potentially habitable objects. Rings can influence measurements of planetary radii and are thus important to improving the precision of these measurements.
In summary, transiting planets combined with radial velocity measurements allow us to derive the following parameters of a planet:
- Orbit: Period, semi-major axis, orbital inclination, eccentricity, spin-orbit alignment
- Planet parameters:
- radius, mass, density, constrain inner structure and composition
- effective temperature, albedo, atmospheric composition (from optical light curves, and from transit spectroscopy with other observatories), surface heat distribution, and reflectivity variations from phase curves for gas giants
- exomoons, planetary rings, Trojan objects
References
PLATO – Revealing habitable worlds around solar-like stars
Definition Study Report, ESA-SCI(2017)1, April 2017